LC震荡器相位噪声的分析与仿真
-
2025.01.17
一、 电路示例图
使用巨霖PowerExpert搭建一个交叉耦合震荡器结构示意图,其中电感两侧的电阻和电容作为电感的等效模型,并不真实存在。原理是LC tank并联一个等效负电阻,实现持续震荡。
二、 相位噪声分析
上述LC震荡器的相位噪声共有三个来源:电感(等效电阻 ),MOS管,尾电流源,现在分析每一部分对总相位噪声的贡献。
1. 理想LC震荡器相位噪声分析
搭建一个理想LC震荡器
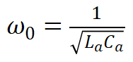
左侧的电流源代表电感的噪声模型,假设电感值为La,电容值为Ca,为了分析相位噪声,假设等效噪声源是白噪声。上述电路阻抗可以表示为
我们关心在震荡频率
附近频率的相位噪声,令
,电路阻抗为
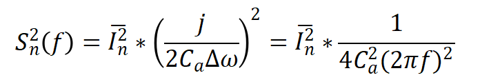
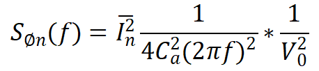
。由此可以得到输出噪声功率谱如下:
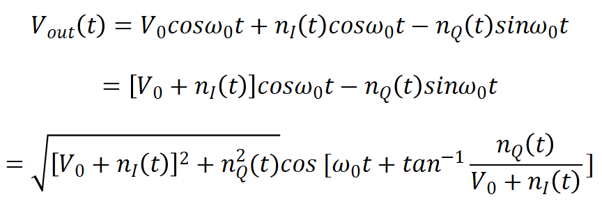
假设输出电压等于,n(t)是输出电压的震荡频率附近的噪声分量,其噪声功率谱如上式所示,接下来分析输出电压的噪声分量是如何影响到其相位的:n(t)作为一个带通函数,可以被表示为
,其中的
和
分别表示n(t)幅度和相位的两个正交分量。所以上式可以改写为:
所以输出电压的频率分量为
,这个量也代表了输出电压的相位噪声。由此可见,输出电压的相位噪声功率谱可以表示为:
可以注意到,在上面的等式中,变为了
,这是因为噪声分量n(t)转换为
时仅保留了相位。上面推导了输入端噪声是如何转换为输出相位噪声的,而输出相位噪声等式中代表输入噪声的
被当作了白噪声处理,而在实际电路中两个MOS对管循环开启和关闭,产生的并不是白噪声,所以不能简单带入上式。
2.MOS管和电阻Rp对输出相位噪声贡献
输入MOS对管轮流开启,但它们仅在一段时间对输出相位噪声有贡献,这是因为它们的交叉耦合结构等效于“负电阻”,这导致输出电压的摆幅超过VDD,进而导致MOS管在关闭和输出电压最值附近都不会贡献相位噪声,因为等效噪声电流分别为0和被尾电流拉至更低的电位。具体波形如下所示:

首先需要确定两个MOS管都开启的时间,假设输入差分电压是
,当
(其中
代表当
时的过驱动电压)时,一个MOS管会关闭,其中
,所以可以得到以下等式:
其中是
周期T的角频率,
,Rp是电感L的等效电阻,Iss是尾电流值,因此可以求出:







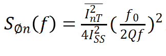
3.MOS管和电阻对输出相位噪声贡献
为了研究尾电流源对于相位噪声的贡献,先忽略MOS对管的噪声,上述LC tank的差分输出电压可以表示为,
为尾电流源的等效噪声模型,传递到输出的噪声转化为相位噪声时仅计算代表相位的正交分量
。首先我们需要计算尾电流源的等效输入噪声,将输入MOS对管等效为两个开关,等效电路如下图所示:

等效的开关相当于一个乘法器,将高低电平分别为1和0的方波信号与尾电流源相乘,等效于给尾电流源施加一个大小为的增益,并且添加了一个频域上的分量,最终变为输出电压。注意到上述电路组成了一个带通滤波器,该模型仅考虑二次谐波频率下的输出相位噪声。因为在
频率下,输出电压的波形在VDD附近斜率最大,此时
会产生共模噪声,在差模输出时相互抵消,在峰值附近,由于输出电压斜率约为0,故
不产生输出噪声,而在更高频率下产生的输出噪声过小忽略不计。在
频率下,输出噪声表达式为
,再乘上“增益+相移”
,分解出的正交相位噪声分量为
,单边的相位噪声等于
,由于单边电压摆幅
,
,所以可以得到
,
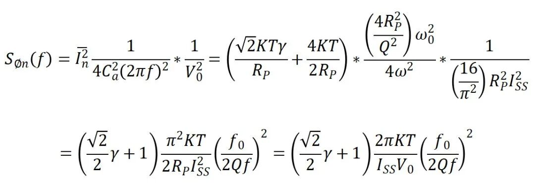
。该电路由MOS输入对管、电感等效电阻和尾电流源的热噪声引起的总相位噪声为:

由上式可以看出,由热噪声引起的总相位噪声与成正比。
尾电流源贡献的1/f噪声一般情况下仅会调制输出信号的幅度,所以在理想情况下不会贡献相位噪声,但在MOS管寄生电容存在非线性特性或引起共模电压变化时,1/f噪声也会对相位噪声产生影响,贡献的相位噪声与成正比,篇幅问题不再推导。
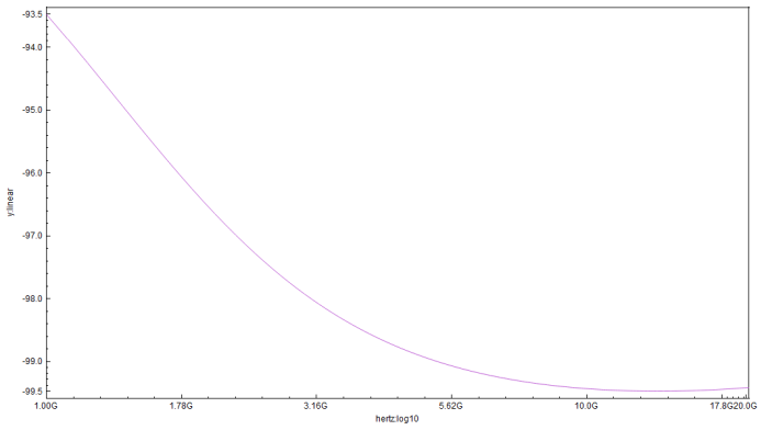
三、仿真验证
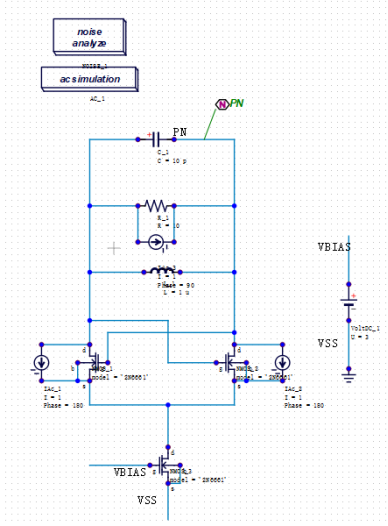
使用巨霖PowerExpert搭建如下等效LC Tank电路图

仿真结果如下:

可以看到,上图中起始约-30dB斜率的部分由1/f噪声贡献,中间-20dB斜率部分由电路中的热噪声贡献,最终在高频下逐渐衰减至0,符合理论推导。
欢迎点击 软件试用 申请试用我们的软件,过程中的任何疑问可联系support技术人员,期待与您的交流!